近期,我校材料学院张勇军博士团队在交错磁性、铁磁量子临界、量子自旋冰等非常规量子磁性领域取得系列研究进展,研究成果分别发表在国际物理权威期刊Nature Communications、Physical Review Letter、Physical Review B上。其中,Nature Communications是《Nature》旗下的多学科子刊,Physical Review Letter是美国物理学会主办的物理学顶级期刊,以发表创新性强、可能产生重大影响的研究成果著称。
成果一:近年来,一种被称为交错磁性的共线磁性引起了广泛关注,交错磁性的发现被入选《Science》“2024年国际十大科技突破”。这种磁性具有动量依赖的能带和自旋劈裂,却没有净磁化,寻找具有接近费米能级大劈裂的交错磁性材料,对于其自旋电子学应用、制造高容量快速存储器件至关重要,但也具有挑战性。本研究采用助熔剂法成功生长了高质量的CrSb单晶,并利用角分辨光电子能谱(ARPES)、自旋分辨的ARPES和模型计算,直接在CrSb中观测到了一个接近费米能级高达约1.0 eV的交错磁性自旋劈裂,以及验证了其费米能级附近自旋劈裂导致的自旋极化。值得一提的是,CrSb具有目前已知最大的交错磁性自旋劈裂,且具有高奈尔温度(705 K)、易于进行薄膜生长和大气下稳定等特点,这使其在交错磁性未来的应用上具有很大的潜力。该研究成果以“Three-dimensional mapping of the altermagnetic spin splitting in CrSb”为题发表在2025年的Nature Communications上,其中我张勇军博士、浙江大学徐远锋教授和刘洋教授为论文通讯作者。

论文链接:https://doi.org/10.1038/s41467-025-56647-7
成果二:量子相变是当前凝聚态物理研究的一个前沿问题,与非常规超导和新奇物态的调控紧密相关,在量子计算、信息存储等领域具有重要价值。本研究在先前CeRh6Ge4中铁磁量子临界点的发现【沈斌*、张勇军*、袁辉球教授等人,Nature 579, 51-55 (2020)】的研究基础上,进一步通过助熔法生长了Co/Rh替换的CeRh6Ge4高质量单晶,发现了由Co/Rh掺杂诱导且不受无序效应影响的铁磁量子临界点,为在压力下无法实现的铁磁量子临界标定行为以及物理属性研究提供了途径。同时,通过对在Co掺杂的量子临界点附近的高精度热膨胀和比热测量,发现其热膨胀系数和格利艾森常数(Γ)在趋近于绝对零度时呈现出随温度指数发散的行为,其中Γ= T -2/3,具有z = 3的动力学涨落因子,这表明该体系中的量子涨落可能牵涉自旋之外的其它自由度(例如电荷涨落等)。相关研究工作为揭示铁磁量子临界的标度行为和物理属性、发展量子相变理论提供了实验依据,该成果以“Critical Fluctuations and Conserved Dynamics in a Strange Ferromagnetic Metal”为题发表在2025年12月的Physical Review Letter上,其中展进和张勇军博士为论文共同第一作者,浙江大学袁辉球教授、Michael Smidman研究员以及罗格斯大学/伦敦大学的 Piers Coleman 教授为共同通讯作者。

论文链接:https://doi.org/10.1103/bp6l-46z7
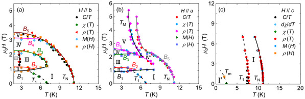
成果三:笼目型(Kagome)自旋冰是一种具有特殊几何阻挫特性的磁体,这种材料在低功耗数据存储、量子计算、极低温制冷等领域具有重要的应用价值。然而,早期的笼目型自旋冰主要发现于加场下的烧绿石型自旋冰、人工自旋冰中,缺乏在天然的材料体系中的发现,从而限制了相关领域的研究。近期,人们通过中子散射实验,首次在具有畸变笼目晶格的HoAgGe中观察到了笼目型自旋冰态,并且在其自旋冰态中观察到了以反常霍尔效应为特征的退简并现象。为了进一步揭示笼目型自旋冰态的磁性特性,本研究通过自助熔剂法生长了HoAgGe单晶,并通过在不同磁场下的物性测量,系统研究了HoAgGe中的自旋冰态随不同磁场的演化行为。当沿ab平面内施加磁场时,存在多个磁场诱导的变磁相变和复杂的磁场-温度相图,与其磁场诱导的自旋冰态相对应。相比之下,其磁场沿c方向的磁性行为相对简单,与其Ho3+磁矩的伊辛特性一致。此外,研究团队还发现HoAgGe在高场下存在明显的面内各向异性,在磁场沿a和b方向上表现出迥然不同的磁场-温度相图,存在截然不同的磁构型。相关研究工作为研究笼目型自旋冰特性、探索新奇物态、发展自旋冰模型提供了重要的实验依据,该研究成果以“Complex magnetic phase diagram of the metallic kagome ice HoAgGe”为题发表在2025年的Physical Review B上,其中我校研究生李纪元为论文第一作者,我校张勇军博士和浙江大学宋宇教授为论文通讯作者。

论文链接:https://journals.aps.org/prb/abstract/10.1103/3dps-z6x7
作者简介:张勇军,副教授,硕士生导师,湖北省“楚天学者计划”楚天学子,“磁湖人才计划”青年才俊。2020年6月博士毕业于浙江大学。主要从事磁性材料、超导材料等晶体材料的生长和极端条件下的物性研究。在量子相变、非常规超导等领域取得了一系列重要研究成果,在Nature、Physical Review Letters、Nature Communications、PNAS、Science Bulletin、Physical Review B、JPCM等期刊上发表学术论文25余篇。承担科技部重点研发子课题1项,承担国家自然科学基金联合重点项目课题1项,主持国家自然科学基金青年项目1项、湖北省自然科学基金青年项目1项、浙江省重点实验室开放课题1项。
