近期,我校材料科学与工程学院马祯博士团队在量子自旋液体研究方面取得系列进展,相关成果已发表于国际顶级期刊Science Advances和物理学知名期刊Physical Review B上。
成果一:长期以来,寻找真实的量子自旋液体材料是凝聚态物理领域的一项重要任务,而自旋激发连续谱被视为确认量子自旋液体的重要证据。本研究通过对三角晶格稀土氧化物CeMgAl11O19开展极低温热力学和非弹性中子散射实验,发现最低温度降至100 mK时,系统仍然没有建立长程磁序,是较为理想的稀土基量子自旋液体候选材料。通过对极化态下的自旋波激发谱进行分析,获取了系统的自旋哈密顿量,确定其位于三角晶格自旋1/2 XXZ模型中具有高度简并的精确可解点附近。尤为重要的是,研究还揭示了微弱的结构无序阻碍系统在低温下选择唯一的磁有序基态,零场下测得的自旋激发连续谱并非来自分数化的自旋子激发,而是源于准简并基态中多重局域自旋波的叠加。这一发现不仅为自旋激发连续谱的起源提供了一种基于经典物理解释的全新机制,也为在实验上区分量子自旋液体和经典自旋态提供了关键信息。该研究成果以“Spin excitation continuum from degenerate states in the mixed ferro-antiferromagnetic exchange system CeMgAl11O19”为题,2026年3月发表于Science Advances [Sci. Adv. 12, eaed7778 (2026)]。我校马祯副教授、美国加州大学圣巴巴分校Leon Balents教授和莱斯大学戴鹏程教授为共同通讯作者。

论文链接:https://www.science.org/doi/10.1126/sciadv.aed7778
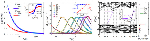
成果二:三角晶格反铁磁体作为一种典型的几何阻挫体系,有望承载包括量子自旋液体在内的多种新奇量子态。然而,真实的量子自旋液体候选材料中常存在结构无序问题,阻碍了对其本征物理的精确解读。本研究设计合成了一种结构理想的新型三角晶格稀土化合物K2CsYb(PO4)2,并成功制备出高质量的单晶样品。直/交流磁化率测量揭示了明显的磁各向异性,但低温下未观测到磁相变或自旋冻结,其量子顺磁行为也得到了极低温比热测量的证实。结合第一性原理计算所给出的强自旋轨道耦合和有效自旋1/2的基态性质,研究认为该材料具备实现量子自旋液体的潜力。此外,系统中存在大量的低温磁熵,可受磁场的连续调制。这一发现不仅为探索量子自旋液体物理提供了一个结构理想的新平台,也为极低温固态制冷技术的应用提供了有效载体。该研究成果以“Magnetic anisotropy and spin-disordered ground state in the triangular-lattice antiferromagnet K2CsYb(PO4)2”为题,2026年1月发表于Physical Review B [PRB 113, 035157 (2026)]。我校研究生童新安和陈英琦为论文共同第一作者,马祯副教授、南京邮电大学王巍副教授和南京大学温锦生教授为共同通讯作者。

论文链接:https://journals.aps.org/prb/abstract/10.1103/jzd6-5354
成果三:除了三角晶格之外,尖晶石结构中也存在几何阻挫,是实现量子自旋液体的潜力候选体系之一。然而,当前结构无序对自旋液体行为的影响仍存在争议。本研究结合中子散射、磁化率和比热等实验手段,对有明显结构无序的尖晶石单晶CuGa2O4进行了系统性研究。实验发现,即使温度低至80 mK 时体系仍无长程磁序建立,且非弹性中子散射实验测到了沿布里渊区边界的连续磁激发谱,这与量子自旋液体中期望的分数化准粒子激发一致。然而,直/交流磁化率曲线在0.88 K处发现短程关联和自旋冻结现象,说明其基态并非量子自旋液体。以上结果不仅揭示了结构无序可以塑造材料的自旋动力学行为,也为进一步寻找结构理想的量子自旋液体材料提供了重要参考。该研究成果以“Disorder-induced spin excitation continuum and spin-glass ground state in the inverse spinel CuGa2O4”为题,2025年7月发表于Physical Review B [PRB 112, 035128 (2025)]。我校马祯副教授、美国布鲁克海文国家实验室顾根大教授J. M. Tranquada教授,以及南京大学温锦生教授为共同通讯作者。

论文链接:https://journals.aps.org/prb/abstract/10.1103/1xtf-wg3q
作者简介:马祯,副教授,硕士生导师,湖北省“楚天学者计划”楚天学子,黄石市“磁湖人才计划”青年才俊。主要从事量子材料的晶体生长、物性表征和中子散射研究工作。目前,主持(含完成)国家自然科学基金青年项目1项,湖北省自然科学基金青年/面上项目各1项,国家重点实验室开放课题3项。共发表SCI论文40余篇,其中第一或通讯作者(含共同)论文14篇,包括Science Advances、Nature Communications、Physical Review Letters各1篇,Physical Review B/Research/Materials 9篇等。担任PRL、PRB、CPL、npj Quantum Materials等期刊独立审稿人。
